Verfügbar mit Image Server
Das Werkzeug Dichte berechnen berechnet die Dichte der Features in der Nachbarschaft dieser Features. Sie kann sowohl für Punkt- als auch für Linien-Features berechnet werden.
Mögliche Verwendungen schließen die Analyse der Dichte von Wohneinheiten oder Straftaten im Rahmen der kommunalen Planung ein. Ebenfalls möglich sind Untersuchungen darüber, wie Straßen oder Versorgungsleitungen den Lebensraum von Wildtieren beeinflussen. Das Feld mit der Grundgesamtheit kann verwendet werden, um einige Features stärker als andere zu gewichten, oder um zu ermöglichen, dass ein Punkt mehrere Beobachtungen darstellt. Eine Adresse könnte z. B. eine Wohnanlage mit sechs Eigentumswohnungen darstellen, oder einige Verbrechen werden beim Bestimmen der Gesamtverbrechensstatistik schwerer als andere gewichtet. Bei Linien-Features beispielsweise hat eine zweispurige Autobahn vermutlich einen größeren Einfluss als eine schmale unbefestigte Straße.
Berechnen der Kerndichte
Die Berechnung der Kerndichte erfolgt für verschiedene Features unterschiedlich.
Punkt-Features
Dichte berechnen berechnet die Dichte von Punkt-Features um jede Ausgabe-Raster-Zelle herum.
Prinzipiell wird eine sanft geschwungene Oberfläche über alle Punkte gelegt. Der Oberflächenwert ist an der Punktposition am höchsten und verringert sich mit zunehmender Entfernung vom Punkt, wobei er in der Entfernung des Suchradius Null erreicht. Es ist nur eine kreisförmige Nachbarschaft möglich. Das Volumen unter der Oberfläche entspricht dem Wert des Bevölkerungsfeldes für den Punkt, oder 1, wenn NONE angegeben ist. Die Dichte von jeder Ausgabe-Raster-Zelle wird berechnet, indem die Werte aller Kernel-Oberflächen hinzugefügt werden, wo sie den Raster-Zellenmittelpunkt überlagern. Die Kernel-Funktion basiert auf der in Silverman (1986, S. 76, Gleichung 4.5) beschriebenen Quartic-Kernel-Funktion.
Wenn eine andere Einstellung als NONE für das Bevölkerungsfeld verwendet wird, bestimmt der Wert jedes Elements, wie oft der Punkt gezählt wird. Der Wert 3 z. B. bewirkt, dass der Punkt als drei Punkte gezählt wird. Die Werte können Ganzzahl- oder Gleitkommawerte sein.
Standardmäßig wird eine Einheit auf Grundlage der linearen Einheit der Projektionsdefinition von den Eingabe-Punkt-Feature-Daten oder wie sonst in der Umgebungseinstellung für das Ausgabekoordinatensystem angegeben, ausgewählt.
Wenn ein Ausgabefaktor für Flächeneinheit ausgewählt ist, wird die berechnete Dichte für die Zelle mit dem entsprechenden Faktor multipliziert, bevor sie in das Ausgabe-Raster geschrieben wird. Beispiel: Wenn die Eingabeeinheiten Meter sind, wird für die Ausgabeflächeneinheiten standardmäßig Quadratkilometer verwendet. Der Vergleich eines Einheitenmaßstabsfaktors für Meter mit Kilometer führt im Endergebnis dazu, dass die Werte um einen Multiplikator von 1.000.000 (1.000 Meter x 1.000 Meter) abweichen.
Linien-Features
Kerndichte kann auch die Dichte von linearen Features in der Nachbarschaft jeder Ausgabe-Raster-Zelle berechnen.
Prinzipiell wird eine sanft geschwungene Oberfläche über alle Linien gelegt. Ihr Wert ist auf der Linie am höchsten und verringert sich, wenn sie sich von der Linie weg bewegt, und erreicht in der Entfernung des angegebenen Suchradius von der Linie aus Null. Die Oberfläche ist so definiert, dass das Volumen unter der Oberfläche dem Produkt von Linienlänge und Bevölkerungsfeldwert entspricht. Die Dichte von jeder Ausgabe-Raster-Zelle wird berechnet, indem die Werte aller Kernel-Oberflächen hinzugefügt werden, wo sie den Raster-Zellenmittelpunkt überlagern. Die für Linien verwendete Kernel-Funktion wurde aus der Quartic-Kernel-Funktion für Punktdichten übernommen und angepasst, wie in Silverman beschrieben (1986, S. 76, Equation 4.5).

In der Abbildung oben sehen Sie ein Liniensegment und die darüber angepasste Kernel-Oberfläche. Der Beitrag des Liniensegments zur Dichte ist gleich dem Wert der Kernel-Oberfläche am Raster-Zellenmittelpunkt.
Standardmäßig wird eine Einheit auf Grundlage der linearen Einheit der Projektionsdefinition von den Eingabe-Polylinien-Feature-Daten oder wie sonst in der Umgebungseinstellung für das Ausgabe-Koordinatensystem angegeben ausgewählt.
Wenn ein Ausgabefaktor für Flächeneinheiten angegeben wird, konvertiert er die Einheiten der Länge und der Fläche. Wenn die Eingabeeinheiten z. B. Meter sind, werden die Ausgabeflächeneinheiten standardmäßig auf Quadratkilometer festgelegt und die entstehenden Liniendichteeinheiten in Kilometer pro Quadratkilometer konvertiert. Der Vergleich eines Einheitenmaßstabsfaktors für Meter mit Kilometer führt im Endergebnis dazu, dass die Dichtewerte um einen Multiplikator von 1.000 abweichen.
Die Dichteeinheiten für Punkt- und Linien-Features können Sie anpassen, indem Sie den entsprechenden Faktor manuell auswählen. Um die Dichte auf Meter pro Quadratmeter (statt der Standardeinstellung Kilometer pro Quadratkilometer) festzulegen, legen Sie die Flächeneinheiten auf Quadratmeter fest. Um die Dichteeinheiten der Ausgabe in Meilen pro Quadratmeile zu erhalten, legen Sie die Flächeneinheiten entsprechend auf Quadratmeilen fest.
Wenn ein anderes Bevölkerungsfeld als NONE verwendet wird, wird die Länge der Linie als die tatsächliche Länge multipliziert mit dem Wert des Bevölkerungsfeldes für diese Linie angesehen.
Formeln für das Berechnen der Kerndichte
In den folgenden Formeln wird angegeben, wie sich die Kerndichte für Punkte berechnen lässt und wie der Standardsuchradius innerhalb der Formel für die Kerndichte bestimmt wird.
Vorhersagen der Dichte für Punkte
Die vorhergesagte Dichte an einer neuen Position (XY) wird durch die folgende Formel bestimmt:

Dabei gilt:
- i = 1,…,n stellen die Eingabe-Punkte dar. Nehmen Sie nur Punkte in die Summe auf, die sich innerhalb der Radiusentfernung von der Position (XY) befinden.
- popi ist der Wert des Feldes mit der Grundgesamtheit von Punkt i; dabei handelt es sich um einen optionalen Parameter.
- disti ist der Abstand zwischen dem Punkt i und der Position (XY).
Die berechnete Dichte wird dann mit der Anzahl von Punkten oder der Summe des Feldes mit der Grundgesamtheit multipliziert, falls ein solches angegeben wurde. Diese Korrektur sorgt dafür, dass das räumliche Integral der Anzahl von Punkten (oder der Summe bzw. dem Feld mit der Grundgesamtheit) entspricht und nicht immer gleich 1 ist. Bei dieser Implementierung wird ein quadratischer Kernel verwendet (Silverman, 1986). Die Formel muss für jede Position berechnet werden, deren Dichte geschätzt werden soll. Da ein Raster erstellt wird, werden die Berechnungen auf die Mitte jeder Zelle im Ausgabe-Raster angewendet.
Standardsuchradius (Bandbreite)
Der zum Bestimmen des Standardsuchradius, auch als Bandbreite bezeichnet, verwendete Algorithmus arbeitet folgendermaßen:
- Der Mittelpunkt der Eingabepunkte wird berechnet. Wenn ein Feld mit Grundgesamtheit bereitgestellt wurde, wird in dieser und allen folgenden Berechnungen nach den Werten in diesem Feld gewichtet.
- Für alle Punkte wird die Entfernung vom (gewichteten) Mittelwert für den Mittelpunkt berechnet.
- Der (gewichtete) Medianwert dieser Entfernungen, Dm, wird berechnet.
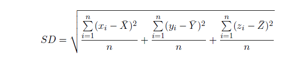
- Die (gewichtete) Standardentfernung, SD, wird berechnet.
- Zum Berechnen der Bandbreite wird die folgende Formel angewendet.

Dabei gilt:
- Dm ist der (gewichtete) Medianwert für die Entfernung vom (gewichteten) Mittelwert.
- n ist die Anzahl der Punkte, wenn kein Feld mit Grundgesamtheit verwendet wird, oder die Summe der Werte der Felder mit Grundgesamtheit, wenn ein Feld mit Grundgesamtheit verwendet wird
- SD ist die Standardentfernung.
Beachten Sie, dass min in der Gleichung bedeutet, dass von den zwei Optionen (SD oder
) diejenige mit dem kleineren Ergebniswert verwendet wird.
Es gibt zwei Möglichkeiten zum Berechnen der Standardentfernung: ungewichtet und gewichtet.
Ungewichtete Entfernung

Dabei gilt:
- x i , y i und z i sind die Koordinaten des Features i
- {x̄, ȳ, z̄} stellt den Mittelwert für den Mittelpunkt der Features dar
- n entspricht der Gesamtzahl von Features
Gewichtete Entfernung

Dabei gilt:
- wi ist die Gewichtung beim Feature i
- {x w, y w, z w} stellt den gewichteten Mittelwert für den Mittelpunkt dar
Methodik
Diese Methode für die Auswahl des Suchradius basiert auf Silvermans Formel als Faustregel für die Bandbreitenschätzung, wurde jedoch für zwei Dimensionen angepasst. Bei dieser Methode für das Berechnen eines Standardradius wird im Allgemeinen das Phänomen eines Ringes um die Punkte vermieden, das oft bei Datasets mit geringer Datendichte vorkommt. Außerdem werden räumliche Ausreißer (d. h. Punkte, die sich weit von den restlichen Punkten entfernt befinden) weitgehend ignoriert.
Auswirkungen von Barrieren auf die Dichteberechnung
Durch eine Barriere wird der Einfluss eines Features bei der Berechnung der Kerndichte für eine Zelle im Ausgabe-Raster geändert. Bei einer Barriere kann es sich um eine Polylinie oder ein Polygon-Feature-Layer handeln. Die Berechnung der Dichte kann auf zweierlei Weisen beeinflusst werden: durch das Erhöhen der Entfernung zwischen einem Feature und der Zelle, in der die Dichte berechnet wird, oder durch den Ausschluss eines Features aus der Berechnung.
Ohne Barriere entspricht die Entfernung zwischen einem Feature und einer Zelle der kürzesten Entfernung, d. h. einer geraden Linie zwischen zwei Punkten. Bei einer offenen Barriere, die gewöhnlich durch eine Polylinie dargestellt wird, hat die Barriere Einfluss auf den Pfad zwischen einem Feature und einer Zelle. In diesem Fall erhöht sich die Entfernung zwischen dem Feature und der Zelle aufgrund einer Umrundung der Barriere, wie in der folgenden Abbildung dargestellt. Infolgedessen reduziert sich der Einfluss des Features beim Schätzen der Dichte für die Zelle. Der Pfad um die Barriere herum wird erstellt, indem eine Reihe von geraden Linien verbunden wird, sodass sie einen Pfad von dem Eingabe-Punkt-Feature um die Barriere herum bis zur Zelle bilden. Er stellt weiterhin die kürzeste Entfernung um die Barriere herum dar, jedoch ist die Entfernung größer als ohne Barriere. Eine geschlossene Barriere wird gewöhnlich von einem Polygon, das einige Features vollständig umfasst, dargestellt. Bei der Dichteberechnung für eine Zelle auf der einen Seite der Barriere werden die Features auf der anderen Seite vollständig ausgeschlossen.

Durch die Berechnung der Kerndichte mit Barriere können je nach Situation realistischere und genauere Ergebnisse erzielt werden als bei der Berechnung ohne Barriere. Wird beispielsweise die Dichte bei der Verteilung einer Amphibienart untersucht, beeinflusst eine Klippe oder Straße die Bewegung der Amphibien. Die Klippe oder Straße kann als Barriere verwendet werden, um eine bessere Dichteschätzung zu erzielen. Gleichermaßen kann sich das Ergebnis einer Dichteanalyse für die Kriminalitätsrate in einer Stadt unterscheiden, wenn der durch die Stadt fließende Fluss als Barriere berücksichtigt wird.
In der nachstehenden Abbildung sehen Sie die Ausgabe von "Kerndichte" für nächtliche Verkehrsunfälle in Los Angeles (Daten können im Los Angeles County GIS Data Portal abgerufen werden). Die Dichteschätzung ohne Barriere ist links (1) dargestellt und die Schätzung mit einer Barriere auf beiden Straßenseiten rechts (2). Bei Verwendung der Barriere gibt das Werkzeug eine viel bessere Dichteschätzung aus. Dabei wird die Entfernung entlang des Straßennetzes gemessen, anstatt die kürzeste Entfernung zwischen den Unfallorten zu bestimmen.

Referenzen
Silverman, B. W. Density Estimation for Statistics and Data Analysis. New York: Chapman and Hall, 1986.