: Das Werkzeug "Trend-Raster generieren" schätzt den Trend für jedes Pixel entlang einer Dimension für eine oder mehrere Variablen in einem multidimensionalen Raster.
Hinweis:
Dieses Werkzeug ist jetzt in Map Viewer, dem modernen Kartenerstellungswerkzeug in ArcGIS Enterprise, verfügbar. Weitere Informationen finden Sie unter Trend-Raster generieren (Map Viewer).
Zur Ausführung dieses Werkzeugs muss die Organisation für die Raster-Analyse konfiguriert sein.
Wenn dieses Werkzeug in Map Viewer Classic nicht angezeigt wird, wenden Sie sich an den Administrator der Organisation. Ihr Portal ist möglicherweise nicht für die Raster-Analyse konfiguriert, oder Sie verfügen nicht über die zum Ausführen des Werkzeugs erforderlichen Berechtigungen.
Workflow-Diagramm

Beispiel
- Ihnen liegen monatliche Meerestemperaturdaten von 40 Jahren vor, und Sie möchten die lineare Trendlinienanpassung für jedes Pixel berechnen, um zu sehen, wo und wie sich die Temperatur im Laufe der Zeit verändert hat.
- Sie haben tägliche Niederschlagsdaten, die über 10 Jahre gesammelt wurden, und möchten mit der Option "Harmonische Trendlinie" die Statistik zur Qualität der Übereinstimmung von R-Squared untersuchen, um zu sehen, ob ein saisonaler Trend in den Daten vorhanden ist.
Verwendungshinweise
Mit diesem Werkzeug können Daten entlang einer linearen, harmonischen oder polynomischen Trendlinie angepasst werden. Das Werkzeug kann auch zur Trenderkennung mittels Mann-Kendall-Test oder saisonalem Kendall-Test verwendet werden.
Das mit diesem Werkzeug generierte Ausgabe-Trend-Raster wird als Eingabe für das Werkzeug Mit Trend-Raster vorhersagen verwendet.
Mit dem Mann-Kendall-Test und dem saisonalen Kendall-Test werden die Daten auf einen monotonen Trend untersucht. Die Tests sind nichtparametrisch, d. h. es wird keine spezifische Verteilung der Daten angenommen. Beim Mann-Kendall-Test werden serielle Korrelation oder saisonale Effekte nicht berücksichtigt. Bei Saisonalität der Daten ist der saisonale Kendall-Test besser geeignet.
Es gibt drei Möglichkeiten der Anpassung eines Trends an die Variablenwerte entlang einer Dimension: linear, harmonisch und polynomisch.

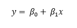
- Linear: Die lineare Trendlinie ist eine am besten passende gerade Linie, die zur Schätzung einfacher linearer Beziehungen verwendet wird. Ein linearer Trend kennzeichnet eine gleichbleibende Veränderung nach oben oder unten. Die Formel für lineare Trendlinien lautet wie folgt:

- Wobei gilt:
- y = Variablenwert des Pixels
- x = Dimensionswert
- ß0 = y-Schnittpunkt
- ß1 = lineare Neigung oder Änderungsrate
- ß1 > 0 weist auf einen zunehmenden Trend hin
- ß1 < 0 weist auf einen abnehmenden Trend hin
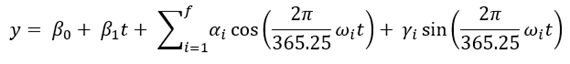
- Harmonisch: Die harmonische Trendlinie ist eine sich periodisch wiederholende geschwungene Linie; mit ihr lassen sich Daten beschreiben, die einem Zyklus folgen, z. B. saisonal bedingte Temperaturänderungen. Die Formel für harmonische Trendlinien lautet wie folgt:

- Wobei gilt:
- y = Variablenwert des Pixels
- t = Datum nach Julianischem Kalender
- ß0 = y-Schnittpunkt
- ß1 = Veränderungsrate
- α, γ = Koeffizienten der Veränderungen innerhalb eines Jahres oder jahresübergreifend
- ω = 1 / i
- f = harmonische Frequenz
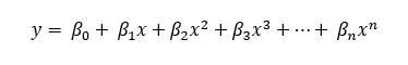
- Polynomisch: Die polynomische Trendlinie ist eine geschwungene Linie, die gut zur Darstellung von Daten mit stärkerer Fluktuation geeignet ist. In diesem Fall wird die maximale Anzahl der auftretenden Fluktuationen durch eine Polynom-Ordnung angegeben. Die Formel für polynomische Trendlinien lautet wie folgt:

- Wobei gilt:
- y = Variablenwert des Pixels
- x = Dimensionswert
- ß0, ß1, ß2, ß3, ... ßn = konstante Koeffizienten
Wenn Sie eine lineare, harmonische oder polynomische Trendanpassung vornehmen, ist die Ausgabe ein multidimensionaler Bilddaten-Layer, wobei jeder Ausschnitt ein Multiband-Raster darstellt und Informationen zur Trendlinie enthält. Wenn Sie den Trend für eine einzelne Variable eines Datasets analysieren, das nur eine Dimension (z. B. Zeit) enthält, enthält das Ausgabe-Dataset nur einen Ausschnitt. Wenn Sie eine einzelne Variable für ein Dataset analysieren, das mehrere Dimensionen enthält (z. B. Zeit und Tiefe), enthält jeder Ausschnitt Trendinformationen für alle Dimensionswerte entlang der Dimension, die nicht in der Analyse enthalten war.
In der linearen Trendanalyse enthält die Ausgabe Dreiband-Raster. Hierbei gilt:
- Band 1 = Neigung
- Band 2 = Schnittpunkt
- Band 3 = RMS-Fehler (Root Mean Square, quadratisches Mittel) oder Fehler um die am besten passende Linie herum
In der harmonischen Trendanalyse hängt die Anzahl an Bändern in der Ausgabe von der harmonischen Frequenz ab. Bei der Frequenz 1 ist die Ausgabe ein Fünfband-Raster. Hierbei gilt:
- Band 1 = Neigung
- Band 2 = Schnittpunkt
- Band 3 = Harmonic_sin1
- Band 4 = Harmonic_cos1
- Band 5 = RMSE
Bei der Frequenz 2 ist die Ausgabe ein Siebenband-Raster. Hierbei gilt:
- Band 1 = Neigung
- Band 2 = Schnittpunkt
- Band 3 = Harmonic_sin1
- Band 4 = Harmonic_cos1
- Band 5 = Harmonic_sin2
- Band 6 = Harmonic_cos2
- Band 7 = RMSE
In der polynomischen Trendanalyse hängt die Anzahl an Bändern in der Ausgabe von der Polynom-Ordnung ab. Bei der Polynomanpassung zweiter Ordnung entsteht ein Vierband-Raster. Hierbei gilt:
- Band 1 = Polynomial_2
- Band 2 = Polynomial_1
- Band 3 = Polynomial_0
- Band 4 = RMSE
Bei der Polynomanpassung dritter Ordnung entsteht ein Fünfband-Raster. Hierbei gilt:
- Band 1 = Polynomial_3
- Band 2 = Polynomial_2
- Band 3 = Polynomial_1
- Band 4 = Polynomial_0
- Band 5 = RMSE
Wenn das Werkzeug zur Durchführung des Mann-Kendall-Tests oder des saisonalen Kendall-Tests verwendet wird, ist die Ausgabe ein Fünfband-Raster. Hierbei gilt:
- Band 1 = Sen-Steigung
- Band 2 = p-Wert
- Band 3 = Mann-Kendall-Wert (S)
- Band 4 = S-Varianz
- Band 5 = Z-Wert
Anhand der Ausgaben des Mann-Kendall-Tests oder des saisonalen Kendall-Tests kann ermittelt werden, welche Pixel in Ihrer multidimensionalen Zeitserie einen statistisch signifikanten Trend aufweisen. Sie können diese Informationen in Verbindung mit der linearen, harmonischen oder polynomischen Trendanalyse verwenden, um signifikante Trends in der Zeitserie zu extrahieren. Sie können eine Maske generieren, die Pixel mit signifikanten p-Werten enthält, die Maske auf das multidimensionale Raster anwenden und dieses maskierte multidimensionale Raster als Eingabe für das Werkzeug verwenden, um lineare, harmonische oder polynomische Trendanalysen durchzuführen.
Goodness-of-Fit-Statistiken für das Modell können als optionale Ausgabe für lineare, harmonische und polynomische Trend-Raster generiert werden. Der RMS-Fehler (Root Mean Square, quadratisches Mittel), R-Squared und der Trend für den p-Wert der Neigung können im Ausgabe-Raster mit dem RGB-Renderer und durch die Angabe der Statistiken als rote, grüne und blaue Kanäle berechnet und angezeigt werden.
Informationen zum Veröffentlichen multidimensionaler Bilddaten-Layer finden Sie unter Veröffentlichen multidimensionaler Bilddaten-Layer.
Wenn die Option Aktuelle Kartenausdehnung verwenden aktiviert ist, werden nur die Pixel analysiert, die in der aktuellen Kartenausdehnung sichtbar sind. Wenn sie deaktiviert ist, wird der gesamte Eingabe-Bilddaten-Layer analysiert.
Die Parameter für dieses Werkzeug sind in der folgenden Tabelle aufgeführt:
| Parameter | Erläuterung |
|---|---|
| Multidimensionalen Bilddaten-Layer für die Trendanalyse auswählen | Der zu analysierende multidimensionale Eingabe-Bilddaten-Layer. |
| Dimension für die Analyse des Variablentrends auswählen | Die Dimension, für die anhand der ausgewählte(n) Variable(n) Trenddaten berechnet werden sollen. |
| Variable(n) für die Trendanalyse auswählen | Die Variable oder Variablen, für die Trends berechnet werden. Wenn keine Variable angegeben ist, wird die erste Variable im Bilddaten-Layer analysiert. |
| Linientyp für die Anpassung an die Variablenwerte in einer Dimension auswählen | Gibt den Linientyp für die Anpassung an die Pixelwerte in einer Dimension an.
|
| Zeiteinheit für die Länge eines saisonalen Zeitraums angeben | Gibt an, welche Zeiteinheit bei Durchführung des saisonalen Kendall-Tests für die Länge des saisonalen Zeitraums verwendet wird.
|
| Länge des harmonischen Zyklus angeben | Die Länge der periodischen Variation, die modelliert wird. Der Grünanteil bei Blättern beispielsweise weist pro Jahr einen starken Variationszyklus auf, sodass die Zykluslänge 1 Jahr beträgt. Stündlich erfasste Temperaturdaten weisen pro Tag einen starken Variationszyklus auf, sodass die Zykluslänge 1 Tag beträgt. Wenn Sie für die Daten zwei Variationszyklen pro Jahr erwarten, beträgt die Zykluslänge 0,5 Jahre bzw. 182,5 Tage. Für Daten, die eine Variation auf der Grundlage eines Jahreszyklus aufweisen, beträgt die Standardlänge 1 Jahr. Dieser Parameter ist erforderlich, wenn für den Trend-Linientyp die Option Harmonisch festgelegt wurde und die Dimension Zeit ist. |
| Zeiteinheit für die Länge eines harmonischen Zyklus auswählen | Gibt die Zeiteinheit für die Länge eines harmonischen Zyklus an.
Dieser Parameter ist erforderlich, wenn für den Trend-Linientyp die Option Harmonisch festgelegt wurde und die Dimension Zeit ist. |
| Frequenz für die harmonische Trendanpassung angeben | Die verwendete Frequenz bei der harmonischen Trendanpassung. Dieser Parameter gibt die Frequenz als Zyklen pro Jahr an. Wird die Häufigkeit auf 1 festgelegt, wird eine Kombination aus linearer Kurve und harmonischer Kurve der ersten Ordnung für die Anpassung des Modells verwendet. Beträgt die Häufigkeit 2, wird eine Kombination aus linearer Kurve, harmonischer Kurve der ersten Ordnung und harmonischer Kurve der zweiten Ordnung für die Anpassung des Modells verwendet. Der Standardwert ist 1. Dieser Parameter ist erforderlich, wenn für den Trend-Linientyp die Option Harmonisch festgelegt wurde und die Dimension Zeit ist. |
| Polynom-Ordnung für die Trendanpassung angeben | Die für die polynomische Trendanpassung verwendete Polynom-Ordnung. Der Standardwert ist 2. Das entspricht einem Polynom zweiter Ordnung. Dieser Parameter ist erforderlich, wenn für den Trend-Linientyp die Option Polynomisch festgelegt wurde und die Dimension Zeit ist. |
| Modellstatistiken für die Berücksichtigung im Trend-Raster auswählen | Gibt die Statistiken an, die in der Ausgabe berechnet werden.
|
| Fehlende Werte in Berechnung ignorieren | Gibt an, ob fehlende Werte bei der Analyse ignoriert werden.
|
| Name des Ergebnis-Layers | Der Name des Layers, der in Eigene Inhalte erstellt und der Karte hinzugefügt wird. Der Standardname basiert auf dem Werkzeugnamen und dem Namen des Eingabe-Layers. Wenn der Layer bereits vorhanden ist, werden Sie aufgefordert, einen anderen Namen einzugeben. Sie können den Namen eines Ordners in Eigene Inhalte angeben, in dem das Ergebnis über das Dropdown-Feld Ergebnis speichern in gespeichert wird. |
Umgebungen
Umgebungseinstellungen für die Analyse sind zusätzliche Parameter, mit denen die Ergebnisse eines Werkzeugs beeinflusst werden können. Sie können auf die Analyseumgebungseinstellungen des Werkzeugs zugreifen, indem Sie oben im Werkzeugbereich auf das Symbol
klicken.
Dieses Werkzeug berücksichtigt die folgenden Analyseumgebungen:
- Ausgabe-Koordinatensystem: Gibt das Koordinatensystem des Ausgabe-Layers an.
- Ausdehnung: Gibt den Bereich an, der für die Analyse verwendet werden soll.
- Fang-Raster: Passt die Ausdehnung der Ausgabe an, sodass sie der Zellenausrichtung des angegebenen Fang-Raster-Layers entspricht.
- Zellengröße: Die im Ausgabe-Layer zu verwendende Zellengröße.
- Resampling-Methode: Die Methode, mit der Pixelwerte interpoliert werden.
- Faktor für parallele Verarbeitung: Steuert die CPU- oder GPU-Instanzen für die Raster-Verarbeitung.
Ähnliche Werkzeuge und Raster-Funktionen
Verwenden Sie "Multidimensionale Abweichung generieren", um Abweichungswerte für Variablen im zeitlichen Verlauf zu ermitteln. Andere Werkzeuge können bei ähnlichen Problemstellungen hilfreich sein.
Analysewerkzeuge und Raster-Funktionen in Map Viewer Classic
Das Werkzeug Mit Trend-Raster vorhersagen verwendet die Ausgabe des Werkzeugs "Trend-Raster generieren", um Variablenwerte für ein in der Zukunft liegendes Datum oder für einen Bereich von in der Zukunft liegenden Daten vorherzusagen.
Analysewerkzeuge und Raster-Funktionen in ArcGIS Pro
Das Geoverarbeitungswerkzeug Trend-Raster generieren ist in der Toolbox Image Analyst verfügbar.
Trend generieren ist auch als Raster-Funktion verfügbar.
ArcGIS Enterprise-Entwicklerressourcen
Wenn Sie in ArcGIS REST API arbeiten, verwenden Sie den Task Generate Trend Raster.
Wenn Sie in ArcGIS API for Python arbeiten, verwenden Sie die generate_trend_raster
aus dem arcgis.raster.analytics-Modul.