Zusammengesetzte Indizes werden in allen sozialen und ökologischen Bereichen verwendet, um komplexe Informationen aus verschiedenen Indikatoren in einem Kennwert darzustellen, mit dem der Fortschritt in Richtung eines Ziels gemessen werden kann und Entscheidungen ermöglicht werden können. Mit dem Werkzeug "Zusammengesetzten Index berechnen" werden beim Erstellen eines Index drei wichtige Schritte unterstützt: Standardisieren von Eingangsvariablen auf eine einheitliche Skalierung (Vorverarbeitung), kombinieren von Variablen zu einer Indexvariablen (Kombination) und Skalieren des resultierenden Index zu aufschlussreichen Werten (Nachbearbeitung).

Gestaltung des Index
Ob ein geeigneter Index erstellt wird, hängt von der sorgfältigen Betrachtung der Frage, die der Index versucht zu beantworten, der Auswahl der Variablen und der verwendeten Methoden ab. Hier ist die Beratung mit Fachleuten und Endbenutzern hilfreich.
Beantworten Sie bei der Gestaltung des Index die folgenden Fragen:
- Die Frage, ob die Variablen in Teilindizes gegliedert werden sollen. Das Konzept, das der Index messen soll, kann durch mehrere Bereiche (auch als Dimensionen bezeichnet) dargestellt werden. So kann sich beispielsweise ein Gefährdungsindex aus den Bereichen Wohnen, Verkehrsnetz und Einkommen zusammensetzen, wobei jeder Bereich aus mehreren Variablen besteht. Hier können Sie zur Darstellung der einzelnen Dimensionen Teilindizes erstellen, indem Sie das Werkzeug mehrfach ausführen. Dies kann die Interpretierbarkeit erleichtern und je nach den verwendeten Methoden auch die Ergebnisse des Index verändern.
- Die Frage, wie Variablen ausgewählt werden sollen. Es wird empfohlen möglichst wenige Eingabevariablen zu verwenden, aber genügend, um die wesentlichen für den Index erforderlichen Informationen zu erfassen. Je mehr Eingabevariablen Sie verwenden, umso schwieriger wird die Interpretation des Index. Wenn mehrere Variablen denselben Bereich betreffen, zum Beispiel mittleres Einkommen und Armut, ist der Einfluss dieses Bereichs im Indexergebnis möglicherweise überrepräsentiert. Wenn dieser Einfluss nicht gewollt ist, spricht man von unerwünschter Gewichtung.
Festlegen von Variablengewichtungen
Variablen werden gewichtet, um die relative Bedeutung der einzelnen Faktoren für den Index darzustellen. Standardmäßig sind alle Gewichtungen auf 1 gesetzt, was bedeutet, dass jede Variable gleich gewichtet wird. Möglicherweise müssen jedoch Unterschiede im Hinblick auf den relativen Einfluss einer Variablen im Vergleich zu anderen gekennzeichnet werden. Wenn Sie eine der Variablen mit 2 und die andere mit 1 gewichten, wird dadurch gekennzeichnet, dass die Variable in Bezug auf ihren Einfluss auf den endgültigen Index im Vergleich zu den anderen Variablen doppelt so wichtig ist.
Sie können auch Gewichtungen festlegen, die in der Summe 1 ergeben. Wenn zum Beispiel drei Variablen verwendet werden und die eine Variable zweimal so wichtig sein soll wie die anderen zwei Variablen, dann können Sie die Gewichtungswerte 0,5, 0,25 und 0,25 verwenden.
Wenn Variablen nach Mittelwert kombiniert werden, werden Gewichtungen angewendet, indem jede Variable mit der jeweiligen Gewichtung multipliziert wird. Wenn Gewichtungen nach geometrischem Mittelwert kombiniert werden, werden Gewichtungen angewendet, indem jede Variable mit der jeweiligen Gewichtung potenziert wird.
Gewichtungen haben einen signifikanten Einfluss auf den resultierenden Index. Ganz gleich, ob Sie Gewichtungen beibehalten oder zugunsten von Variablen ändern, wird die Analyse durch Gewichtungen subjektiv. Zudem kann es vorkommen, dass Sie aufgrund von Korrelation und Varianzunterschieden zwischen Variablen unabsichtlich gewichten.
Weitere Informationen zum Einfluss von Korrelation und Varianz auf den Index
Vorverarbeiten von Variablen
Damit ein geeigneter Index erstellt werden kann, müssen die Variablen in einer kompatiblen Skalierung vorliegen. Um dies zu erreichen, enthält das Werkzeug Vorverarbeitungsoptionen, mit denen die verschiedenen Eingabevariablen auf eine einheitliche Skalierung gebracht werden, sodass sie entsprechend kombiniert werden können. Sie können Variablen auch umkehren, sodass die hohen Werte hinsichtlich ihrer Bedeutung in den einzelnen Variablen einander entsprechen.

Vorverarbeiten von Variablen, indem die Richtung umgekehrt wird
Überlegen Sie, welche Bedeutung niedrige und hohe Werte in den einzelnen Variablen haben, und stellen Sie sicher, dass sie miteinander vereinbar sind. In einem Index für gesellschaftliche Anfälligkeit sind beispielsweise Orte mit einem geringeren mittleren Einkommen anfälliger. Orte mit einem niedrigen Prozentsatz an Menschen ohne Versicherungsschutz sind dagegen weniger anfällig. Die Richtung dieser Variablen ist im Zusammenhang mit dem Zweck dieses Index gegenläufig.

Die Umkehrung der Variablen wird berechnet, indem jeder Wert mit –1 multipliziert und das Feld zwischen dem ursprünglichen Bereich der Variablen skaliert wird.
Vorverarbeiten von Variablen, indem dieselbe Skalierung verwendet wird
Das Werkzeug enthält verschiedene Optionen zum Skalieren der Variablen mithilfe des Parameters Methode zum Skalieren und Kombinieren von Variablen. Bei den Optionen Werte kombinieren (Mittelwert der skalierten Werte) und Unterschiede zusammensetzen (Geometrischer Mittelwert der skalierten Werte) erfolgt die Skalierung mithilfe des Minimal- und Maximalwertes. Bei der Option Kombinationsrangfolgen (Mittelwert der Perzentile) erfolgt die Skalierung mithilfe von Perzentilen. Bei der Option Extremwerte hervorheben (Anzahl der Werte über dem 90. Perzentil) erfolgt die Skalierung mithilfe von binären Werten. Die ausgewählte Option wird auf alle Variablen angewendet, und die resultierenden skalierten Felder werden in der Ausgabe bereitgestellt. Die folgenden Optionen sind möglich:
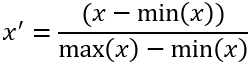
Minimum-Maximum: Die Variablen werden unter Verwendung des Minimal- und des Maximalwertes jeder Variablen zwischen 0 und 1 skaliert. Dies ist die einfachste Methode, da hiermit die Verteilung der Eingabevariablen erhalten bleibt und eine Skalierung im Bereich von 0 bis 1 durchgeführt wird, die leicht zu interpretieren ist.

Bei dieser Methode wird die folgende Formel angewendet:

Da bei dieser Methode die Verteilung der Variablen erhalten bleibt, kann sie durch eine verzerrte Verteilung oder Ausreißer beeinflusst werden. Wenn es beispielsweise einen einzigen Ausreißer mit einem sehr hohen Wert gibt, wird diesem der Wert 1 zugewiesen, während die restlichen Werte alle ähnlich sind und näher bei null liegen. Aufgrund der geringeren Variation bei der vorverarbeiteten Variablen hat diese Variable möglicherweise weniger Einfluss auf den resultierenden Index.
Diese Methode hängt auch von den Minimal- und Maximalwerten in den Eingabedaten ab, sodass sie weniger gut für Indexvergleiche über mehrere Zeiträume hinweg geeignet ist, wenn sich die Minimal- und Maximalwerte einer Variablen bei jedem Zeitschritt ändern können.
Perzentil: Die Variablen werden in Perzentile zwischen 0 und 1 konvertiert. Diese Methode eignet sich für den Fall, dass die Rangfolgen der einzelnen Variablen wichtiger sind als deren tatsächlichen Werte. Sie ist zudem unempfindlich gegenüber Ausreißern und verzerrten Verteilungen, da die Variablen in eine Gleichverteilung transformiert werden.

Für Perzentile gibt es verschiedene Definitionen. Bei dieser Methode wird die folgende Formel verwendet:
,wobei R für den Ordinalrang (wobei im Falle eines Gleichstandes der Wert mit der niedrigsten Rangfolge verwendet wird), N für die Anzahl der Werte und P für das resultierende Perzentil steht.
Perzentile geben die Position eines Wertes im Verhältnis zu den anderen Werten innerhalb der Variablen an. Während beispielsweise der Einkommensunterschied zwischen 50.000 US-Dollar und 60.000 US-Dollar möglicherweise nicht besonders groß ist, kann die Differenz in Perzentilen erheblich sein, wenn zahlreiche Merkmale mit Werten dazwischen vorhanden sind.
Nach Schwellenwert kennzeichnen (binär): Die Variable wird in Binärwerte (0, 1) konvertiert, die angeben, ob der Wert über oder unter einem bestimmten Schwellenwert liegt. Diese Methode eignet sich für den Fall, dass bestimmte Werte hervorgehoben werden müssen, während die Variation der Werte keine Rolle spielt.

Diese Methode wird durch Ausreißer in den Eingabevariablen nicht beeinflusst. Die Informationen zur Intervallstufe gehen in den einzelnen Eingabevariablen jedoch verloren, da jede Variable in eine binäre (0, 1) Variable konvertiert wird.
- Unverarbeitet: Die ursprünglichen Werte der Variablen werden verwendet. Diese Methode sollte nur verwendet werden, wenn alle Variablen in einer vergleichbaren Skalierung vorliegen. Verwenden Sie diese Methode beispielsweise, wenn alle Variablen in einer Standardeinheit wie Prozent oder PPM (Teile pro Million) angegeben sind. Diese Methode kann auch dann verwendet werden, wenn die Standardisierung oder Transformation der Variablen bereits durchgeführt wurde.
Kombinieren von Variablen
Nachdem die Variablen vorverarbeitet und einheitlich skaliert wurden, werden sie zu einem einzigen Wert aggregiert. Bei der Option Werte kombinieren (Mittelwert der skalierten Werte) des Parameters Methode zum Skalieren und Kombinieren der Variablen erfolgt die Aggregation nach Mittelwert. Bei der Methode Skalierte Werte zusammensetzen (Geometrischer Mittelwert der skalierten Werte) erfolgt die Aggregation nach geometrischem Mittelwert. Bei Extremwerte hervorheben (Anzahl der Werte über dem 90. Perzentil) erfolgt die Aggregation nach Summe.
Summe und Mittelwert sind additive Methoden. Geometrischer Mittelwert ist eine multiplikative Methode.
Additive Methoden
Die Kombinationsmethoden Summe und Mittelwert sind recht einfach zu interpretieren und werden gerne für verschiedene Indizes verwendet. Diese Methoden sind nahezu identisch. Sie ergeben Verteilungen der gleichen Form, die sich lediglich in der Skalierung unterscheiden, weshalb die resultierende Indexkarte gleich aussieht. Nur die Werte sind unterschiedlich.

Mit diesen Methoden können hohe Werte in einer Variablen niedrige Werte in einer anderen Variablen ausgleichen.

Multiplikative Methoden
Multiplikative Methoden haben den Vorteil, dass hohe Werte in einer Variablen niedrige Werte in einer anderen Variablen nicht ausgleichen können. Ein Indexwert kann nur hoch sein, wenn mehrere Variablen hohe Werte aufweisen.


"Geometrischer Mittelwert" ist mit einer Multiplikation vergleichbar. Ein Index, bei dem der geometrische Mittelwert verwendet wird, ergibt dieselbe Karte wie ein Index, bei dem die Multiplikation zur Kombination von Variablen verwendet wird, da die Verteilung dieselbe Form hat und sich lediglich die Werte unterscheiden.
Nachbearbeiten des Index
Nachdem die Variablen vorverarbeitet und zu einem unverarbeiteten Index kombiniert wurden, kann der Index durch Nachbearbeitung besser nachvollziehbar gestaltet werden.
Umkehren des Index
Überlegen Sie, welchen Zweck der Index erfüllen soll, und bewerten Sie, ob hohe Indexwerte der jeweiligen Absicht entsprechen. Wenn der Index umgekehrt wird, werden aus hohen Werten im unverarbeiteten Index niedrige Werte im endgültigen Index und umgekehrt.

Skalieren des Index mithilfe von Minimal- und Maximalwerten
Wenn zum Skalieren des Index Minimal- und Maximalwerte verwendet werden, ändern sich der Bereich des Ausgabeindex. Diese Option ist unabhängig von der verwendeten Vorverarbeitungs- und Kombinationsmethode einfacher interpretierbar. Geben Sie beispielsweise als Minimalwert 0 und als Maximalwert 100 an, um den unverarbeiteten Index auf diesen Bereich zu skalieren. Bei dieser Option wird die folgende Formel verwendet:

dabei steht x für den ursprünglichen Wert, min(x) für den Minimalwert im Index, max(x) für den Maximalwert im Index, a für den angegebenen Minimalwert, b für den angegebenen Maximalwert und x' für den skalierten Wert.

Interpretieren der Ergebnisse
Der Index-Layer zeigt die Verteilung von Indexwerten nach einer optionalen Skalierung oder Umkehrung an. Der Layer enthält eine kontinuierliche Choropleth-Karte, die zum Auswerten der Indexergebnisse verwendet werden kann. Sie können die Karte verwenden, um hohe und niedrige Indexwerte auszuwerten, wobei die Indexverteilung und eventuelle Ausreißer erhalten bleiben.

Der Layer enthält zudem die folgenden Felder, die zum Auswerten der Ergebnisse verwendet werden können:
- Ein Perzentil-Feld, da die relativen Positionen (Rangstufen) zwischen Indexwerten angibt. Verwenden Sie dieses Feld, um die Beziehung zwischen Speicherorten basierend auf ihrer Rangstufe statt auf den tatsächlichen Indexunterschieden zu untersuchen.
- Ein Feld, bei dem der Index in fünf Klassen mit gleichem Intervall gegliedert wird.
- Ein Feld, bei dem der Index in fünf Quantil-Klassen gegliedert wird.
- Ein Feld, bei dem der Index in sechs Standardabweichungs-Klassen gegliedert wird. Verwenden Sie dieses Feld, um an den einzelnen Speicherorten die Beziehung des Indexwertes zum mittleren Indexwert zu untersuchen und Speicherorte mit extrem hohen und niedrigen Indexwerten zu ermitteln.
Zusätzliche Quellen
Weitere Informationen finden Sie im Handbook on Constructing Composite Indicators: Methodology and User Guide der OECD (Organisation for Economic Co-operation and Development, Organisation für wirtschaftliche Zusammenarbeit und Entwicklung).